For combustion we can use the following combustion parameters of materials [5, 6]:
- $Y_{O₂}$ - oxygen consumption, [kg/kg]
- $Y_{CO₂}$ – carbon dioxide emission, [kg/kg]
- $Y_{CO}$ – carbon monoxide emission, [kg/kg]
- $Y_{HCl}$ – hydrogen chloride emission, [kg/kg]
- $D_m$ – smoke generating capacity, [Np·m²/kg]
- $∆H$ – calorific value, [kJ/kg]
{width=70%}
Note: Below in the Combustion Reaction section, all the patameter values that are known at the time of mention are highlighted in bold.
Usually, FDS alters some or all of these parameters to simulate combustion. Also, a number of other parameters are required that are not present in the available reference books. Accordingly, it is necessary to convert the known parameters into the parameters required for simulation with FDS.
In FDS6, instead of specifying the exact chemical formula of the fuel, only the molar mass of the fuel, the amount of oxygen required to burn the fuel, and the amount of combustion products produced are specified.
The combustion reaction can be represented as follows:

where:
- $Fuel$ – fuel;
- $Air$ – combustion air;
- $ϑ_{Air}$ – amount of air required for fuel combustion;
- $Products$ – combustion products.
Air is a mixture of gases, the main components of which are nitrogen (78.084 vol%) and oxygen (20.9476 vol%). When simulating, we assume that the volume fraction of nitrogen is 79%, and oxygen is 21%:
{width=70%}
or
{width=70%}
Since $ϑ_{O₂}$ = 0.21 $ϑ_{Air}$, equation (18) takes the following final form:
{width=70%}
Equation (19) can be altered as:
{width=70%}
Combustion products are the same as in formula (14) with the addition of hydrogen chloride:
{width=70%}
As a result, we get the combustion reaction:
{width=70%}
Thus, to set the combustion reaction, it is necessary to determine the amount of oxygen $ϑ_{O₂}$ and the amount of each combustion product: $ϑ_{CO₂}$, $ϑ_{H₂O}$, $ϑ_{CO}$, $ϑ_{Soot}$, $ϑ_{HCl}$ и $ϑ_{N₂}$.
According to the principal of atom conservation, we get that:
{width=30%}
The remaining values are calculated:
{width=70%}
where:
- $Y_{O₂}$ – oxygen consumption (unit: [kg/kg]);
- $Y_{CO₂}$, $Y_{CO}$, $Y_{HCl}$, $Y_{H₂O}$, $Y_{Soot}$ – emission of carbon dioxide, carbon monoxide, hydrogen chloride, water and soot, respectively (unit: [kg/kg]);
- $W_{Fuel}$ - fuel molar mass. Often it is not known exactly, since the combustible content is a complex mixture of substances (for example, Administrative rooms, classrooms of schools, universities, medical offices). Therefore, usually, either ~87 g/mol (for wood, fabrics) or ~104 g/mol (for plastic, rubber) is taken as the value;
- $W_{O₂}$, $W_{CO₂}$, $W_{CO}$, $W_{HCl}$, $W_{H₂O}$, $W_{Soot}$ – molar mass of oxygen, carbon dioxide, carbon monoxide, water, hydrogen chloride, and soot, respectively (unit: [g/mol]). The values of these constants are presented in Table P1.1 of Appendix 1.
The emission of water $Y_{H₂O}$ is determined by the law of mass conservation:
{width=60%}
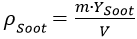
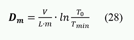
The emission of soot $Y_{Soot}$ (27) can be explained using the procedure for determining the smoke-developed index:
{width=30%}
where:
- $V$ – measuring chamber capacity;
- $L$ – light beam path length in a smoky environment;
- $m$ – sample weight;
- $T_0$, $T_{min}$ – the values of the initial and final light transmission, respectively.
On the other hand, the intensity of light passing through the smoke over distance L decreases in accordance with the following law:
{width=30%}
where:
- $K$ – light extinction coefficient (optical smoke density)
{width=40%}
where:
-
$K_m$ – mass extinction coefficient (unit: m²/kg). The default FDS value for this parameter is 8700 m²/kg – a typical value for wood and plastic combustion.
-
$ρ_{Soot}$ – smoke density
{width=40%} (31)
As a result, equation (28), taking into account (29) – (31), is transformed as follows:
{width=40%}
From equation (32) we find equation (27).
Note: The measure unit for the smoke generation coefficient is [m²/kg]. In some references (as well as in the methods and manuals for calculating fire risk values), [Np·m²/kg] is used as the measure unit. Neper (Np) is a dimensionless logarithmic unit of the ratio of two quantities. Its use only emphasizes the “physical essence” of the smoke generation coefficient and does not change the numerical value. Therefore, its values expressed in [m²/kg] and [Np·m²/kg] are the same.
Thus, to convert the combustion parameters of materials into the parameters required for FDS, the following steps must be sequentially performed:
- Determine $Y_{Soot}$ by formula (27).
- Determine $Y_{H₂O}$ by formula (26).
- Determine the chemical reaction coefficients by formulas (25.1 – 25.6).
- Determine $ϑ_{N₂}$ by formula (24).
Below is an example of converting known material parameters into parameters required for FDS.
We do this using the example of a typical fire load “Car.” We use the following fire load parameters:
- Inferior calorific value ($∆H$): 31700 kJ/kg
- Smoke generating capacity ($D_m$): 487 Np·m²/kg
- Oxygen consumption ($Y_{O₂}$): 2,64 kg/kg;
- Carbon dioxide emission ($Y_{CO₂}$): 1,295 kg/kg;
- Carbon monoxide emission ($Y_{CO}$): 0,097 kg/kg;
- Hydrogen chloride emission ($Y_{HCl}$): 0,0109 kg/kg;
- Molar mass of the fuel ($W_{Fuel}$): 104,3233 g/mol.
In FDS, the combustion reaction is represented by several SPEC groups defining each reaction component and one REAC group.
In this case, the combustion reaction is represented by the following groups:
&SPEC ID='OXYGEN' LUMPED_COMPONENT_ONLY=.True./
&SPEC ID='NITROGEN' LUMPED_COMPONENT_ONLY=.True./
&SPEC ID='CARBON DIOXIDE' LUMPED_COMPONENT_ONLY=.True./
&SPEC ID='CARBON MONOXIDE' LUMPED_COMPONENT_ONLY=.True./
&SPEC ID='HYDROGEN CHLORIDE' LUMPED_COMPONENT_ONLY=.True./
&SPEC ID='WATER VAPOR' LUMPED_COMPONENT_ONLY=.True./
&SPEC ID='SOOT' LUMPED_COMPONENT_ONLY=.True./
&SPEC ID='Car' MW=104.3233/
&SPEC ID='AIR' BACKGROUND=.True. SPEC_ID(1:2)='OXYGEN','NITROGEN' VOLUME_FRACTION(1:2)=1,3.7619/
&SPEC ID='PRODUCTS' SPEC_ID(1:6)='SOOT','CARBON DIOXIDE','CARBON MONOXIDE','HYDROGEN CHLORIDE','WATER VAPOR','NITROGEN' VOLUME_FRACTION(1:6)=0.535241224739138,3.06976160828912,0.361275400659048,0.031187456220273,12.6304974369969,32.3786545368201/
&REAC FUEL='Car' HEAT_OF_COMBUSTION=31700 SPEC_ID_NU(1:3)='Car','AIR','PRODUCTS' NU(1:3)=-1,-8.60699501231296,1/
The first seven SPEC groups describe the element components of the reaction. Since these are standard components, the properties of which are already included in FDS, there is no need to specify any additional parameters for them except LUMPED_COMPONENT_ONLY.
The LUMPED_COMPONENT_ONLY=.True. parameter value means that this component can only be used in a complex component – in a mixture.
The SPEC ID=‘Car’ group represents the fuel, for which only molar mass is specified.
The SPEC ID=‘AIR’ group represents air composed of oxygen and nitrogen (see formula (21)). Since it is present at all points of the simulated space, the BACKGROUND parameter is set to .True.
The SPEC ID=‘PRODUCTS’ group represents the combustion products and their amounts in the reaction.
The REAC group actually reflects formula (20).
The SPEC_ID_NU parameter lists all the components involved in the combustion reaction: fuel, air, and reaction products.
The NU parameter lists the amount of each reaction component corresponding to the enumeration in the SPEC_ID_NU parameter. Components with a “-” sign are consumed during the reaction, and those with a “+” sign are produced.